Ответы
Ответ дал:
0
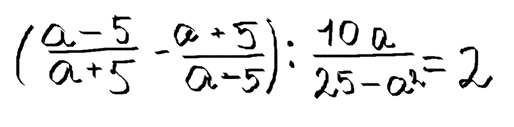
(a-5/a+5 - a+5/a-5) : 10a/25-a^2=2;
1) (a-5)(a-5) - (a+5)(a+5) / (a-5)(a+5)= -20a/a^2-25
2) -20a/a^2-25 * 25-a^2/10a;
-20a/a^2-25 * a^2-25/-10a;
-20a/-10a=2
2=2
1) (a-5)(a-5) - (a+5)(a+5) / (a-5)(a+5)= -20a/a^2-25
2) -20a/a^2-25 * 25-a^2/10a;
-20a/a^2-25 * a^2-25/-10a;
-20a/-10a=2
2=2
Вас заинтересует
3 года назад
3 года назад
8 лет назад
8 лет назад
11 лет назад
11 лет назад
11 лет назад