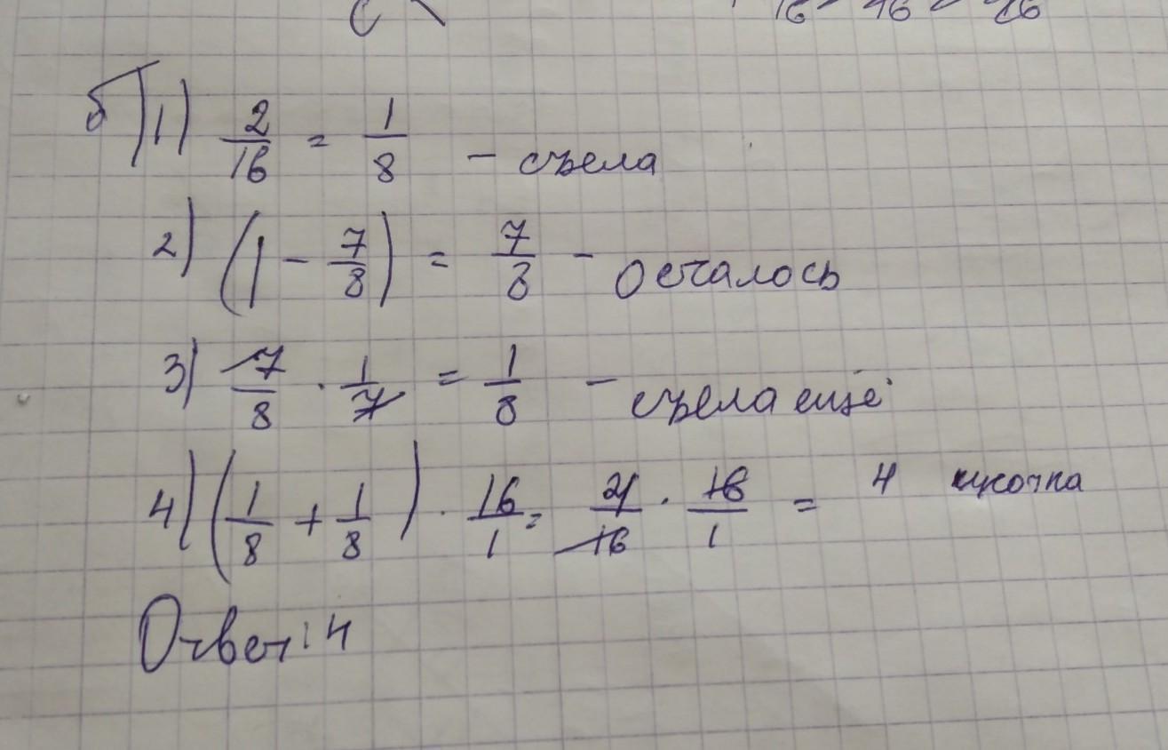
Шынар купила плитку шоколада,которая делится на 16 одинаковых кусочка.а) Шынар сьела 2 кусочка шоколада,какую часть она съела б) позже в этот же день она съела 1/7 часть от оставшегося шоколада, сколько всего кусочков она съела?
Ответы
Ответ дал:
6
Вроде Так
а) 2/16
б) 4 кусочка
Приложения:

morazgali2010:
А откуда 7/8 взялся?
Ответ дал:
0
1 2/16
2 4кусочка ооооооооооооооооооооооооооооо
Вас заинтересует
2 года назад
2 года назад
8 лет назад
8 лет назад
9 лет назад