• Предмет: Алгебра
  • Автор: vorinchina
  • Вопрос задан 7 лет назад

1. Найти пятое слагаемое
2-5. Вычислить
Желательно написать на листке

Приложения:

Ответы

Ответ дал: Удачник66
0

Ответ:

Ответы в объяснении

Объяснение:

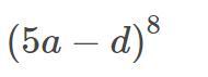
1) (5a - d)^8 = (5a)^8 - 8*(5a)^7*d + 28*(5a)^6*d^2 - 56*(5a)^5*d^3 + 70*(5a)^4*d^4

5 слагаемое: 70*(5a)^4*d^4 = 70*625*a^4*d^4 = 43750a^4*d^4

2) C_{12}^{10}+P_4=C_{12}^2+P_4=\frac{12*11}{2} +4!=66+24=90

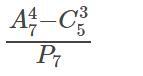
3) \frac{A_7^4-C_5^3}{P_7} =\frac{7*6*5*4-(5*4*3)/(1*2*3)}{7!} =\frac{840-10}{5040} =\frac{830}{5040} =\frac{83}{504}

83 - простое число, поэтому дробь не сокращается.

4) C_9^7=C_9^2=\frac{9*8}{2} =9*4=36

\frac{C_9^2+A_8^5}{P_6} =\frac{36+8*7*6*5*4}{6!} =\frac{36+6720}{720} =\frac{6756}{720} =\frac{563}{60}

563 - простое число, поэтому дробь не сокращается.

5) C_{13}^{10}=C_{13}^3=\frac{13*12*11}{1*2*3} =13*11*2=286;  C_{12}^{11}=C_{12}^1=12

\frac{C_{13}^{10}-C_{12}^{11}}{A_8^6} =\frac{286-12}{8*7*6*5*4*3} =\frac{274}{20160} =\frac{137}{10080}

137 - простое число, поэтому дробь не сокращается.

Вас заинтересует