• Предмет: Алгебра
  • Автор: tigar3328
  • Вопрос задан 7 лет назад

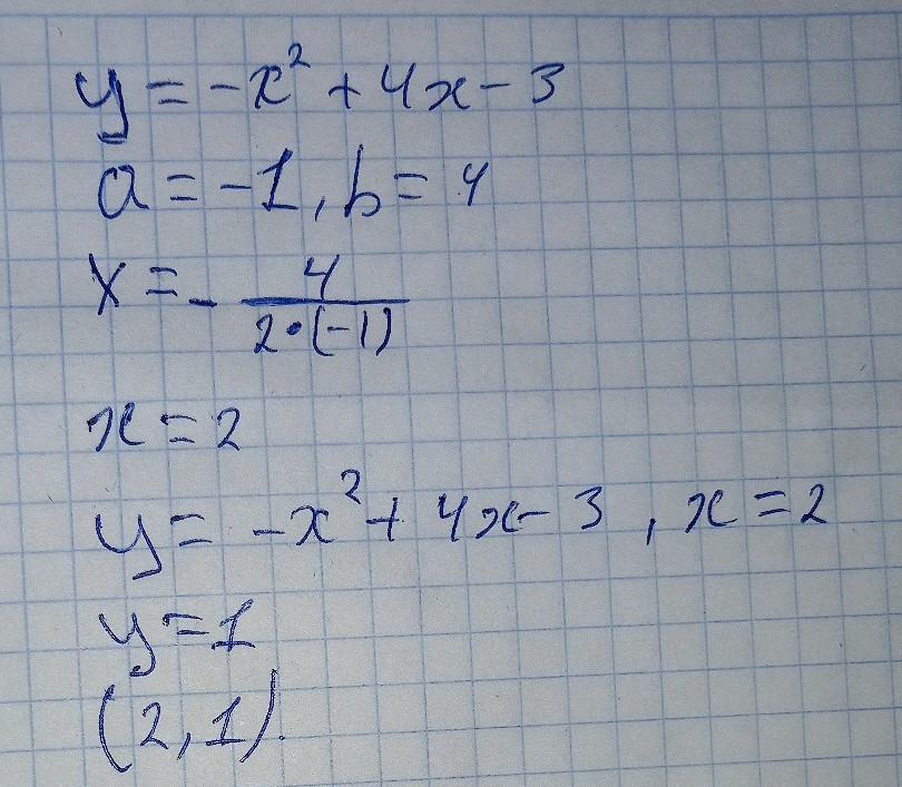
Дана функция: у=-х²+4x-3 даю 20 балов


AvA22022: и в чем вопрос)

Ответы

Ответ дал: sukurzanovanazira189
0

Ответ:

Надеюсь правильно

Ответ: (2,1)

Приложения:
Вас заинтересует