Ответы
Ответ дал:
0
Ответ:
a-b
Объяснение:
см. решение
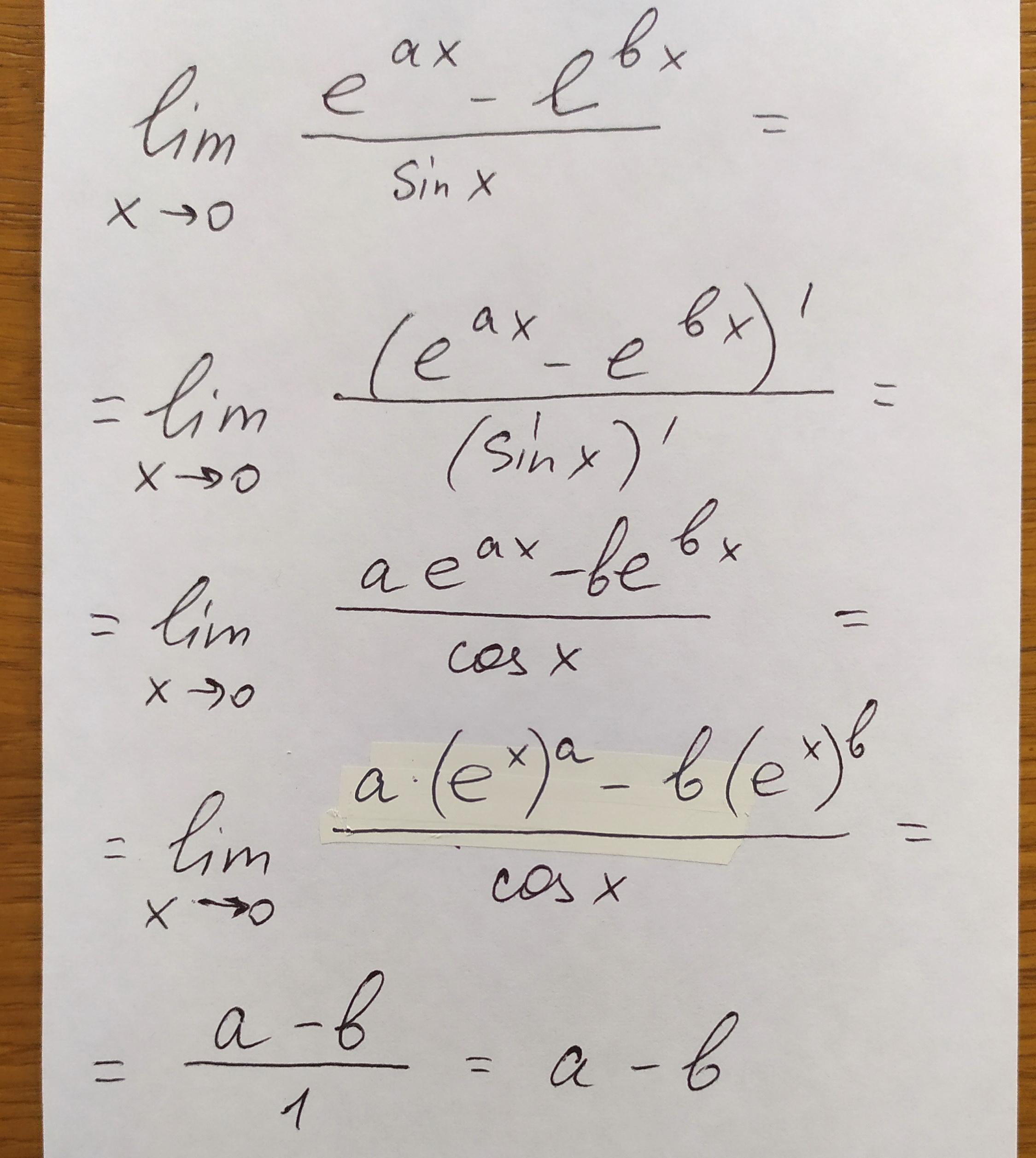
По правилу Лопиталя надо найти предел отношения производных числителя и знаменателя.
Находим производные числителя и знаменателя. А потом подставляем вместо х ноль (т.к. х стремится к нулю в условии) . Получаем, что числитель равен (а-b) (т.к. 1.
Получаем в ответе а-b
Приложения:

Вас заинтересует
2 года назад
2 года назад
2 года назад
2 года назад
8 лет назад
9 лет назад