• Предмет: Математика
  • Автор: 8b5x9phjq6
  • Вопрос задан 7 лет назад

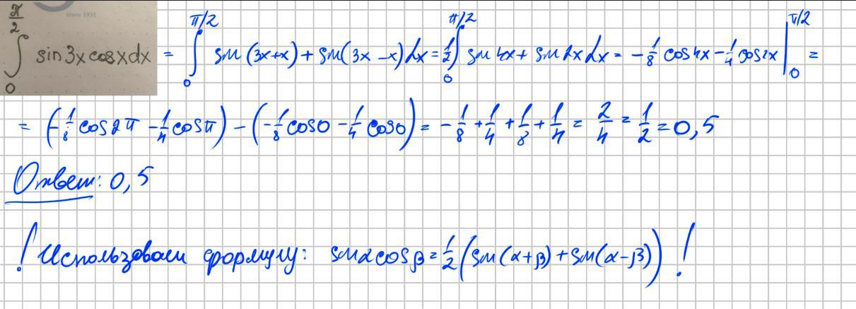
Решить определенный интеграл

Приложения:

Ответы

Ответ дал: Ilyazov45
1

---------------------

Приложения:
Вас заинтересует