1) 0.9 (-4x) (-0,5) = -6,3;
2) -0,24 (-0,5y) (-10) = -1,2; :
3) -2,4:2,3 = x:6.9:
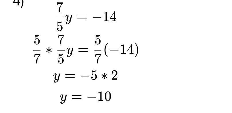
4) y: (-3,5) = 4:1,4 10 10
heeellllppp pleeeaasseee,,,,
Ответы
Ответ дал:
4
Ответ:
..................... .............
Приложения:


Вас заинтересует
2 года назад
2 года назад
2 года назад
2 года назад
9 лет назад