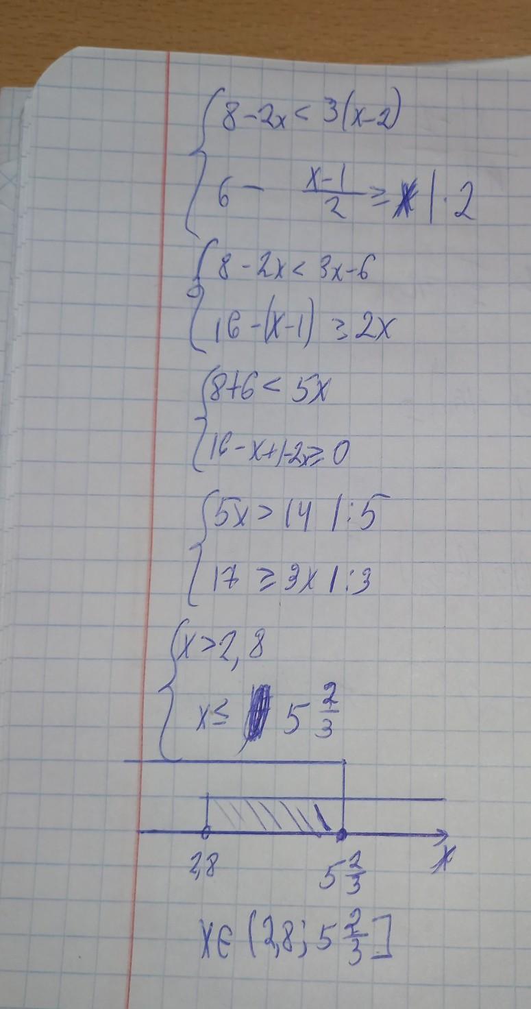
5. Решите систему неравенств
(8 - 2x < 3(х - 2),
x - 1
6- -2 х.
2. >Х
ПОМОГИТЕ ПОЖАЛУЙСТА
Приложения:

Ответы
Ответ дал:
1
Пошаговое объяснение:
если вам понравился мой ответ можете поставить пометку «Лучший ответ»?
Приложения:

Вас заинтересует
2 года назад
2 года назад
2 года назад
8 лет назад
8 лет назад
9 лет назад