• Предмет: Алгебра
  • Автор: Lomach3nko
  • Вопрос задан 10 лет назад

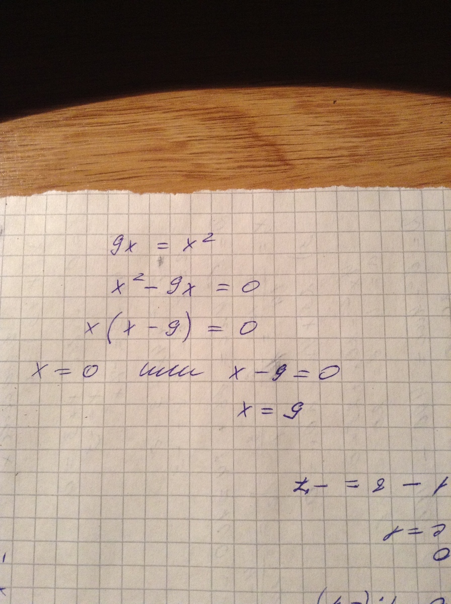
Помогите решить через дискриминант!!

Приложения:

Ответы

Ответ дал: aliyakurmanova
0
...............................................................
Приложения:
Ответ дал: Lomach3nko
0
спасибо!!! огромное а сделай еще на которые ты не скинула пожалуйсто!!!!
Ответ дал: Lomach3nko
0
а скинь 3 и 4 пожалуйсто!!
Вас заинтересует