Ответы
Ответ дал:
1
Ответ:
на фото два задания решены
Объяснение:
Приложения:

Ответ дал:
1
Объяснение:
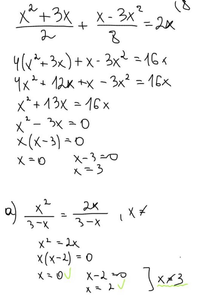
а)
(х^2+3х)/2 + (х-3х^2)/8=2х
4(х^2+3х)+(х-3х^2)=8×2х
4х^2+12х+х-3х^2-16х=0
Х^2-3х=0
Х(х-3)=0
Х=0 х-3=0
Х=3
Ответ : х1=0 ; х2=3
б)
Х^2/(3-х)=2х/(3-х) х≠3
Х^2=2х
Х^2-2х=0
Х(х-2)=0
Х=0 х-2=0
Х=2 Х≠3
Ответ : х1=0 х2=2
Вас заинтересует
2 года назад
2 года назад
2 года назад
8 лет назад
8 лет назад
9 лет назад
9 лет назад