Ответы
Ответ дал:
1
Дискриминация вроде бы
Приложения:

Ответ дал:
0
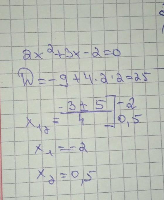
Ответ:
0.5 ; 2
Объяснение:
2х²+3х-2=0
a=2; b=3; c=-2
Д= 3²- 4×2×(-2)= 9+16=25
=
=
=
=
= 0.5
=
=
= -2
Вас заинтересует
2 года назад
2 года назад
2 года назад
8 лет назад
9 лет назад
9 лет назад