6. Вычислите скорость распространения волны, если за 12 с поплавок совершил на волнах 20 колебаний, а расстояние между соседними гребнями волн 1.4 M.
Ответы
Ответ дал:
0
Ответ:
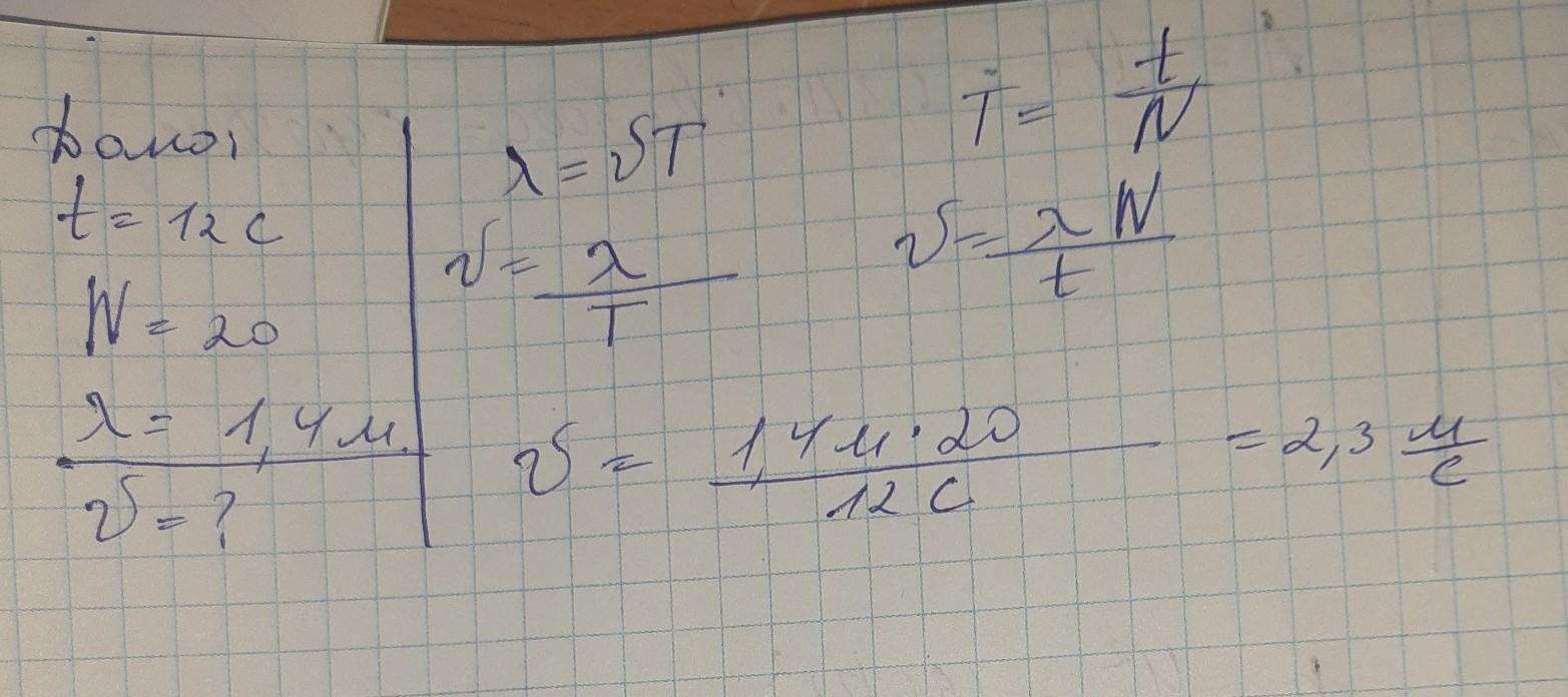
ответ см. на фото...............
Приложения:

Ответ дал:
1
Ответ:
Объяснение:
Дано:
t = 12 c
n = 20
λ = 1,4 м
________
V - ?
Период колебаний:
T = t / n = 12 / 20 = 0,6 с
Скорость волны:
V = λ / T = 1,4 / 0,6 ≈ 2,3 м/с
Cohendd:
Верни аватарку. Тебя все по ней знают. Твою дифракцию. Это мне можно. С 27 июня 21 у меня уже седьмой акк. Как у ценного работника))) Слабо? А твой Айболит66 цел. Да и у многих других.
Вас заинтересует
2 года назад
2 года назад
2 года назад
8 лет назад