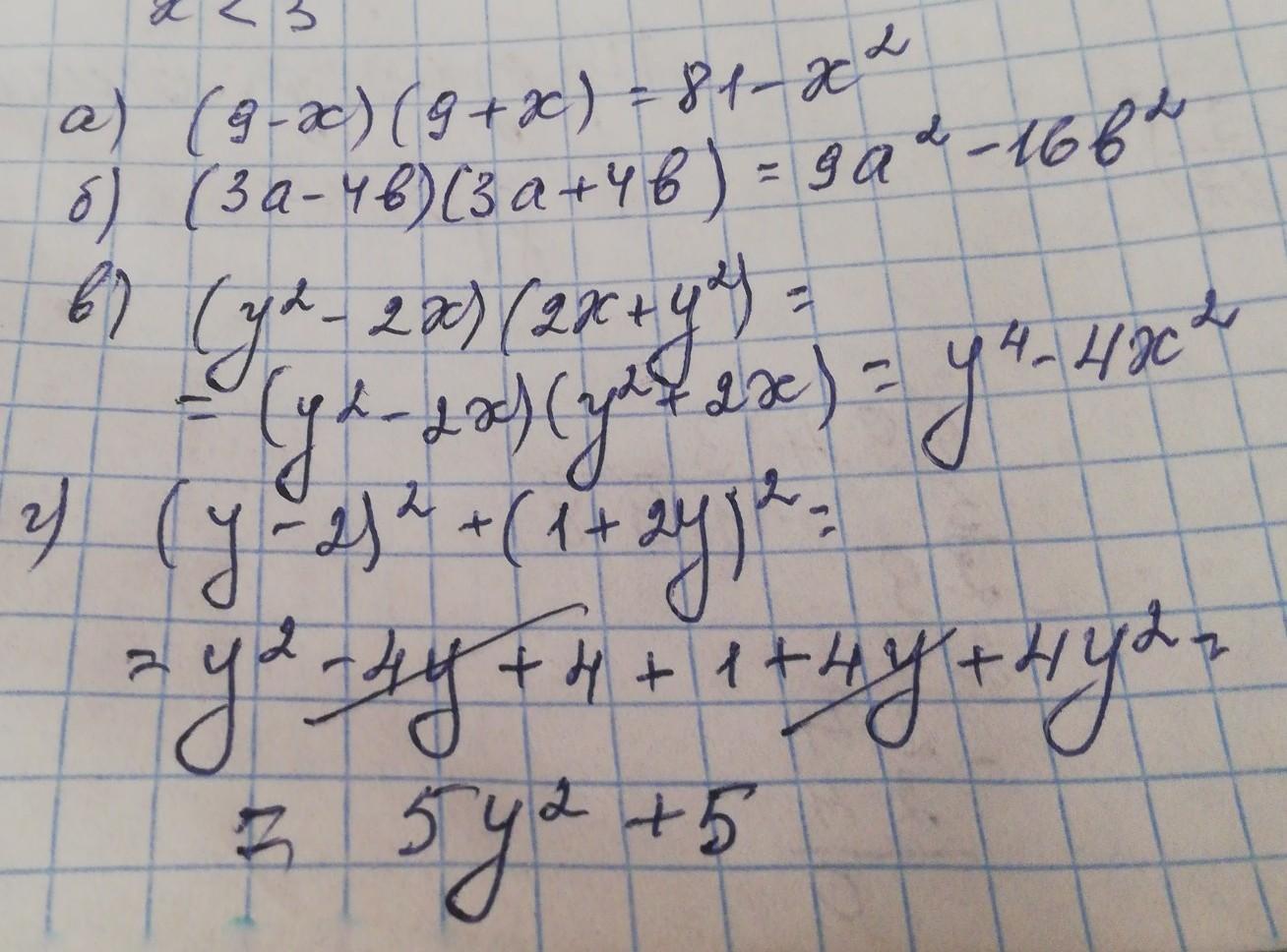
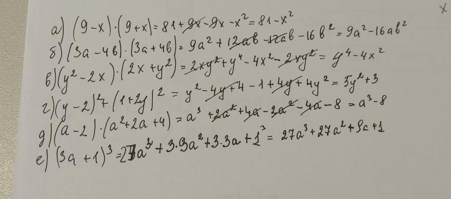
1. Упростите выражение: a) (9-х)(9+x); б) (3a-4b)(3a + 4b); B) (у²-2x)(2x + y²) г)(у-2)²+(1+2у)² д) (а-2)(а²+2а+4) е) (3а+1)³
Ответы
Ответ дал:
0
Ответ:
Смотри решение на фото...
Приложения:


Ответ дал:
0
Ответ:
смотри фото
Объяснение:
смотри фото
Приложения:

Вас заинтересует
2 года назад
2 года назад
2 года назад
8 лет назад
8 лет назад
9 лет назад