• Предмет: Химия
  • Автор: Petrina228
  • Вопрос задан 7 лет назад

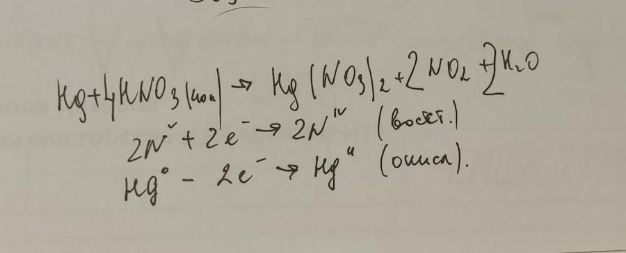
составить электронный баланс, расставить коэффициенты для следующей реакции: Hg+HNO3(конц) --) Hg (NO3)2 + NO2 + H20

Ответы

Ответ дал: kcto58247
0

Ответ:

0-------+5------+2--------------+4

Hg + 4HNO3 = Hg(NO3)2 + 2NO2 + 2H2O

Hg (0)-2е==>Hg (+2)|1|--окисление, ртуть восстановител

N(+5)+1е==>N(+5)|2|--восстановление, азотная кислота окислитель.

Ответ дал: nv1812
0

Ответ:

смотри фото

Объяснение:

смотри фото

Приложения:
Вас заинтересует