Ответы
Ответ дал:
0
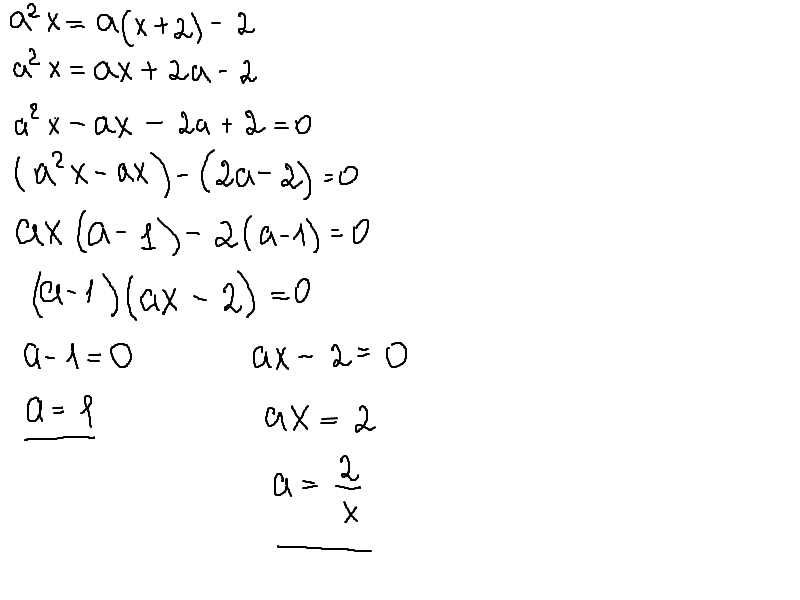
Решение уравнения а^х=а(х+2)-2
Приложения:

Ответ дал:
0
Большое спасибо!!!
Ответ дал:
0
Пожалуйста!
Вас заинтересует
2 года назад
2 года назад
8 лет назад
8 лет назад
10 лет назад