Ответы
Ответ дал:
0
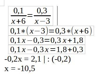
Уж и с формулой решить не могут...
Приложения:

Вас заинтересует
2 года назад
2 года назад
8 лет назад