• Предмет: Физика
  • Автор: glebstruk601
  • Вопрос задан 7 лет назад

решите с 1 по 3 или хотя бы одно из них, 50 баллов ​

Приложения:

Ответы

Ответ дал: saianm1980
1

Объяснение:

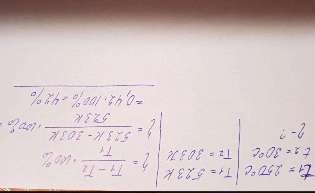
прости что кривой..........…....…………………

Приложения:
Ответ дал: Kotkisa
1

Ответ:

2) В) 750-300/750. * 100= 60

3) В) Т2 = Т1 ( 1 - КПД)

Т2 =100(1-0.25)= 75

Вас заинтересует