Ответы
Ответ дал:
1
Ответ:
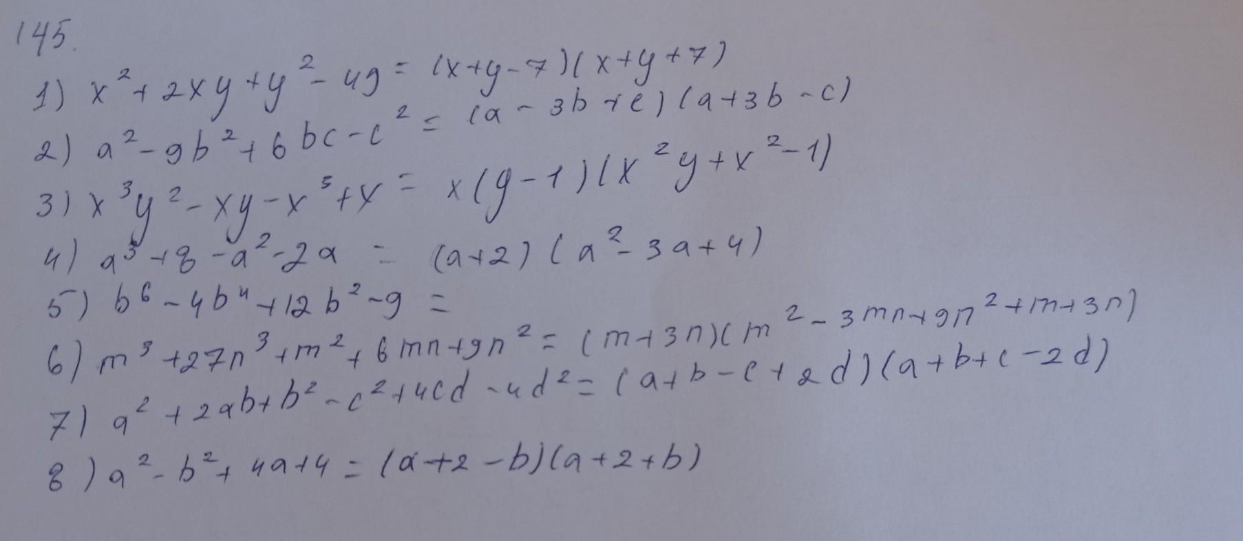
Сейчас выложу ещё 145 номер
Приложения:


voskalomaria65:
жду 145 номер
Вас заинтересует
2 года назад
2 года назад
2 года назад
2 года назад
8 лет назад
8 лет назад
9 лет назад
9 лет назад