√(6-2√2)² Помогите пожалуйста решить, распишите все подробно что бы я понял как что вы делали
paxanzyablikov:
выражение в скобках под корнем?
Ответы
Ответ дал:
1
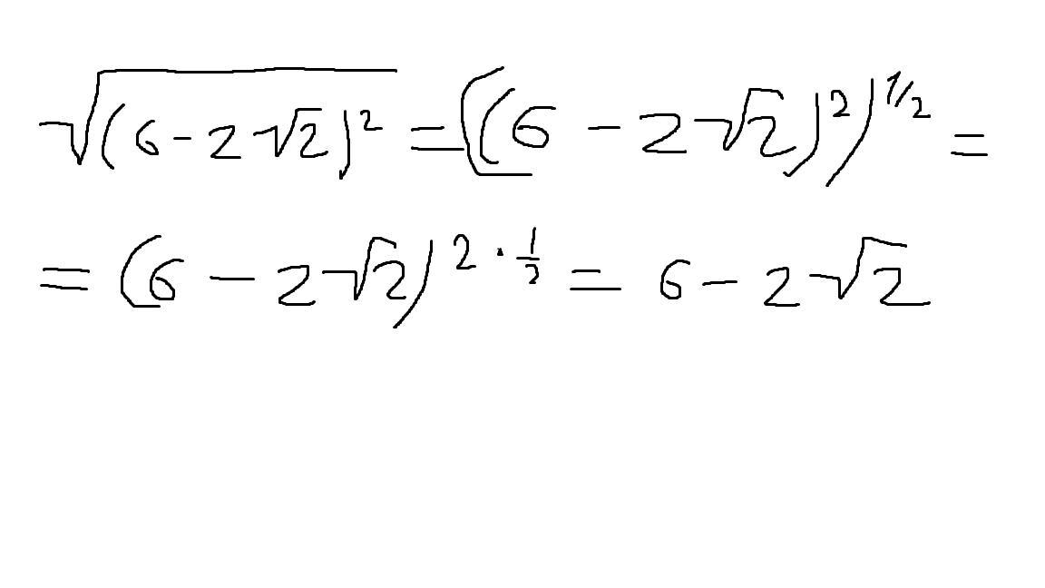
Ответ: 6-2√2
Объяснение:
корень - выражение в степени 1/2. Твое выражение под корнем имеет степень 2. Следовательно степени сокращаются, и остается выражение
Приложения:

Вас заинтересует
2 года назад
2 года назад
2 года назад
2 года назад
8 лет назад
8 лет назад
9 лет назад
9 лет назад