• Предмет: Алгебра
  • Автор: moko22111
  • Вопрос задан 7 лет назад

Срочно пж ОЧЕНЬ НАДО АЛГЕБРА 7 КЛ

Приложения:

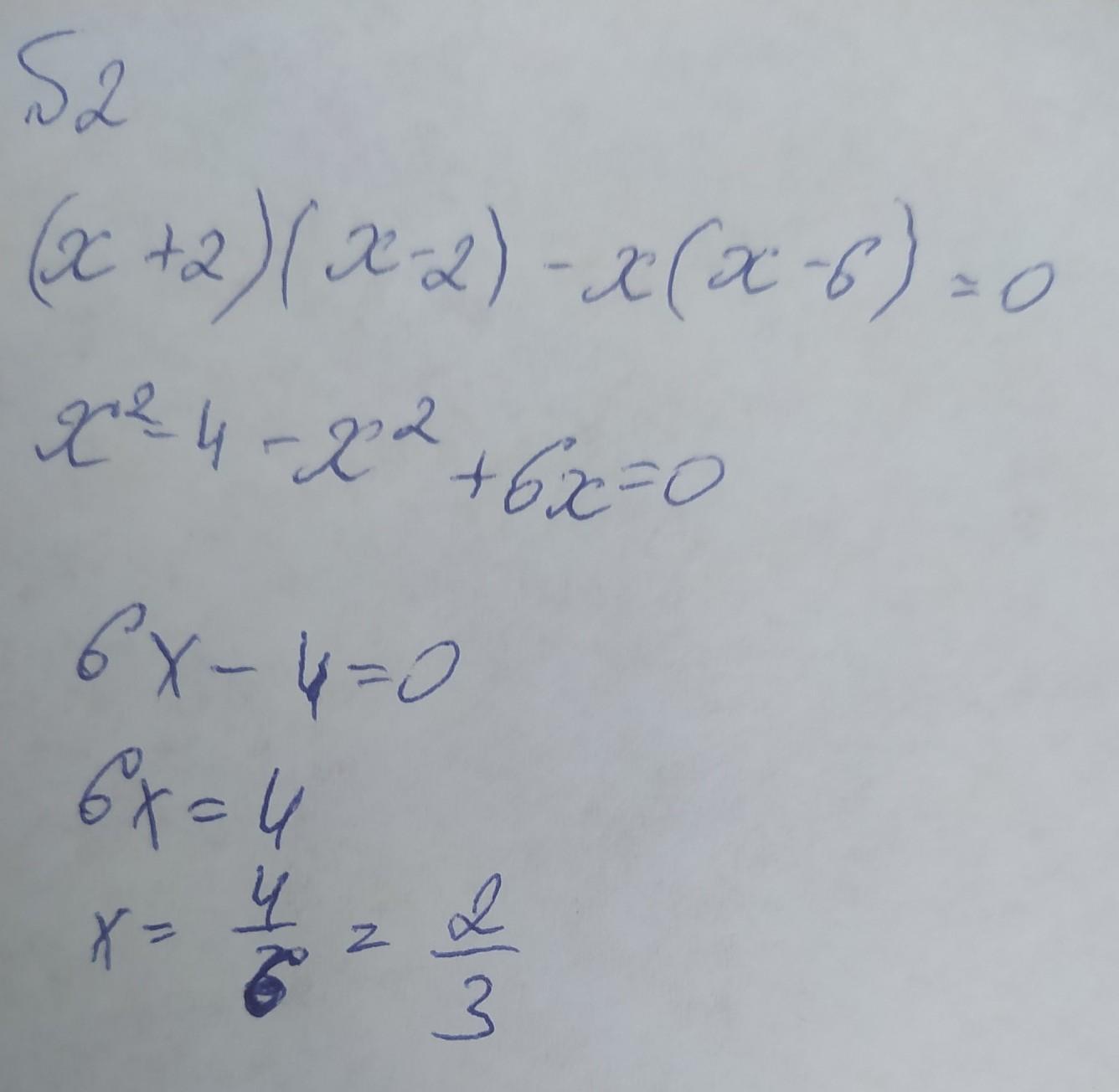
Ответы

Ответ дал: bomkoasya0102
0

Ответ:

на фото

все примеры делались по формуле:

(a + b)(a - b) = {a}^{2}  -  {b}^{2}

отметь ответ как лучший, если помогла

Приложения:
Вас заинтересует