• Предмет: Физика
  • Автор: mitakosmynin046
  • Вопрос задан 7 лет назад

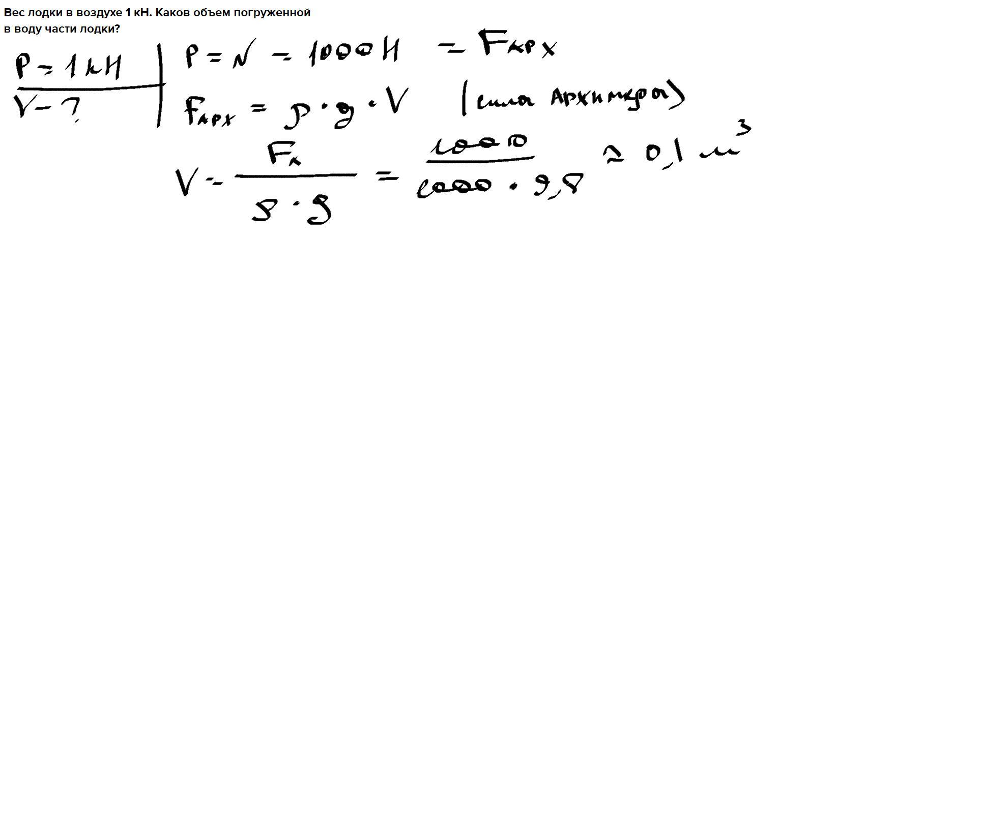
Вес лодки в воздухе 1 кН. Каков объем погруженной в воду части лодки?

Ответы

Ответ дал: papatronik
0

Ответ:

V=0.1м^3

Объяснение:

Рисунок во вложении

Приложения:
Вас заинтересует