• Предмет: Алгебра
  • Автор: rusbik0128
  • Вопрос задан 7 лет назад

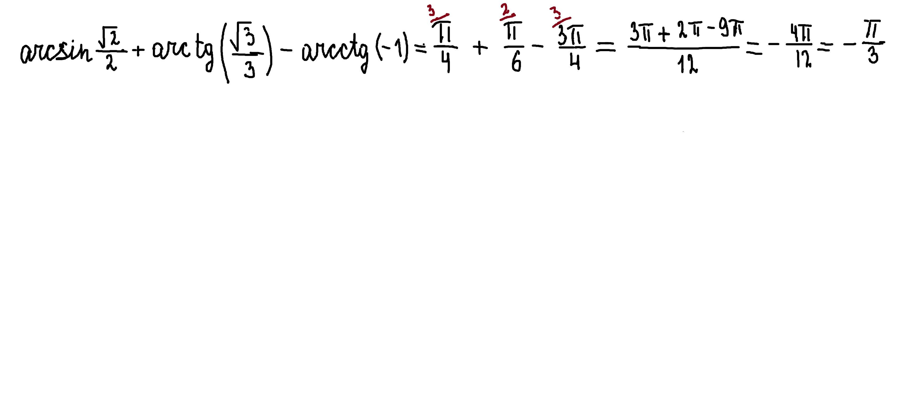
Вычислите пожалуйста

Приложения:

Ответы

Ответ дал: parus77
0

Ответ:

-π/3

Объяснение:

пользуемся таблицей обратных тригонометрических функций

Приложения:
Вас заинтересует