• Предмет: Алгебра
  • Автор: malostenkokosta
  • Вопрос задан 7 лет назад

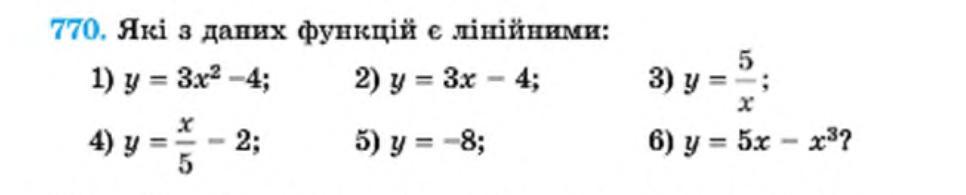
Допоможіть будь ласка

Приложения:

Ответы

Ответ дал: sofiasemenovna100
0

Объяснение:

линейная функция, когда у икса первая степень, и он находится в числителе

если вам понравился мой ответ можете поставить пометку «Лучший ответ»?

Приложения:
Вас заинтересует