• Предмет: Алгебра
  • Автор: leysper
  • Вопрос задан 7 лет назад

допоможіть будь ласка, з поясненням буду дуже вдячний!)​

Приложения:

Ответы

Ответ дал: Albina283901
1

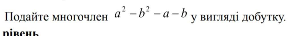
а²-b²-a-b= (a+b)(a-b)-(a+b)=(a+b)(a-b-1)

объяснение:

а²-b²= (а+b)(а-b) -формула разности квадратов

-а-b= -(а+b) - вывели минус (общую часть) за скобку, поменяли знаки (были отрицательные числа, стали положительными

в конце вывели за скобку общую часть (а+b)

Вас заинтересует