• Предмет: Математика
  • Автор: milanabinalieva587
  • Вопрос задан 7 лет назад

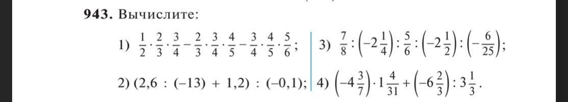
Что в тетради написано было бан тем кто неуч

Приложения:

Ответы

Ответ дал: guu200422
1

Ответ:

1) -\frac{13}{20}

2) -10

3) -\frac{7}{9}

4) -7

Вас заинтересует