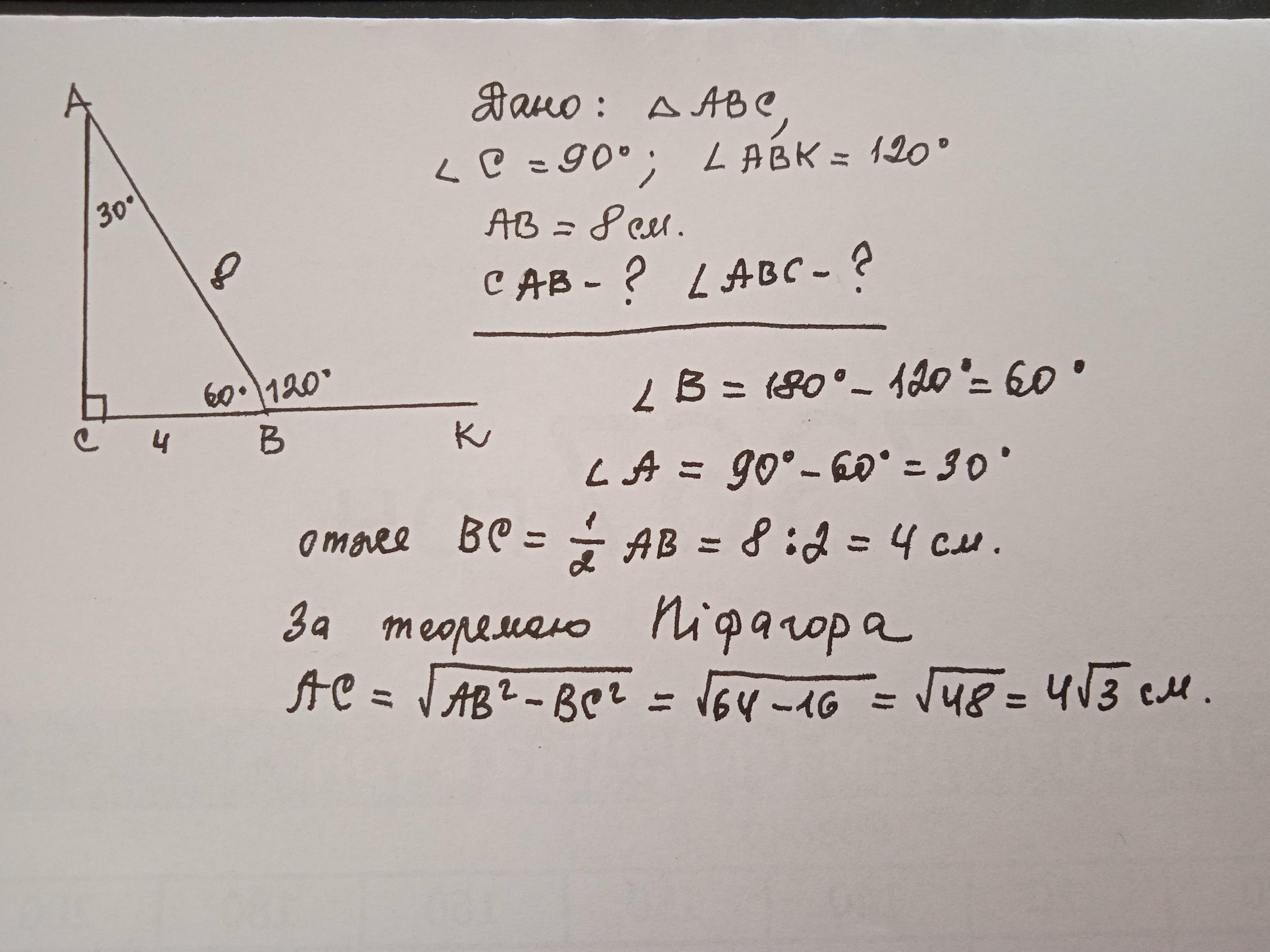
СРОЧНО ПОЖАЛУЙСТА: Знайти катет і гострі кути прямокутного трикутника, якщо його гіпотенуза дорівнює 8 см, а один із зовнішніх кутiв дорівнює 120°.
Ответы
Ответ дал:
2
Ответ:
60°, 30°, 4√3 см.
Объяснение:
Приложения:

ledidarya2009:
спасибо тебе выручил
Вас заинтересует
2 года назад
2 года назад
2 года назад
8 лет назад
8 лет назад
9 лет назад