• Предмет: Геометрия
  • Автор: sladkayahubabuba
  • Вопрос задан 7 лет назад

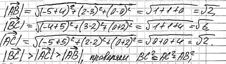
2. Найти длины сторон треугольника и определить вид треугольника АВС, если: А (-5 ; 2; 0) , В(-4; 3; 0 ), С( -5; 2; -2). ​

Ответы

Ответ дал: baranovartemii9
0

Ответ: фотооооооооооооооооооооо

Приложения:
Вас заинтересует