• Предмет: Алгебра
  • Автор: fashenteam
  • Вопрос задан 7 лет назад

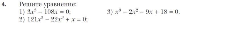
Решите пожалуйста примеры

Приложения:

Ответы

Ответ дал: dobrynina784
1

Ответ:

вот вроде так всё, если что-то не понятно пиши)

Приложения:
Вас заинтересует