• Предмет: Математика
  • Автор: meowtamerlan
  • Вопрос задан 7 лет назад

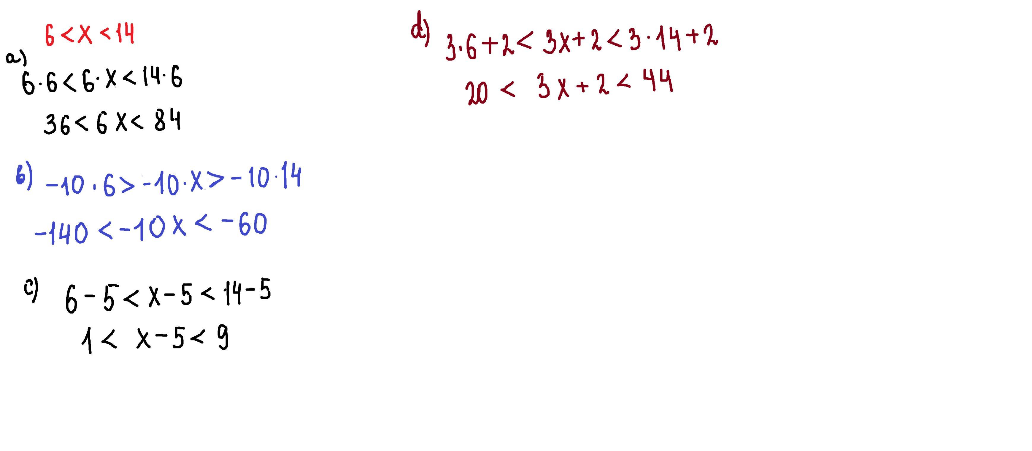
Зная, что 6 < x < 14. оцените значение выражения: a) 6x b)-10x c) x-5 d) 3x +2 ​

Ответы

Ответ дал: parus77
0

Ответ:

Пошаговое объяснение:

решение внизу

в задании b) при умножении на отрицательное число знак неравенства изменится на противоположный

Приложения:
Вас заинтересует