• Предмет: Химия
  • Автор: Аноним
  • Вопрос задан 7 лет назад

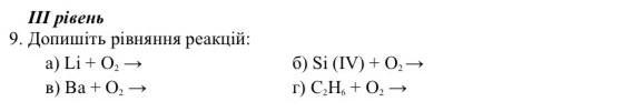
Допишіть рівняння реакцій

Приложения:

Ответы

Ответ дал: verbytskaolexandra
10

Ответ:

а)4 Li + O2 → 2 Li2O

в)Ba + O2 → BaO2

б)я незнаю сорі

г)C2H2 + O2 = CO2 + H2O

надіюсь хоть чимось помогла


Sasha2009bsjeh: Дякую помогла
Вас заинтересует