• Предмет: Химия
  • Автор: 6helldeer9
  • Вопрос задан 7 лет назад

Помогите пожалуйста решить задачу по химии:

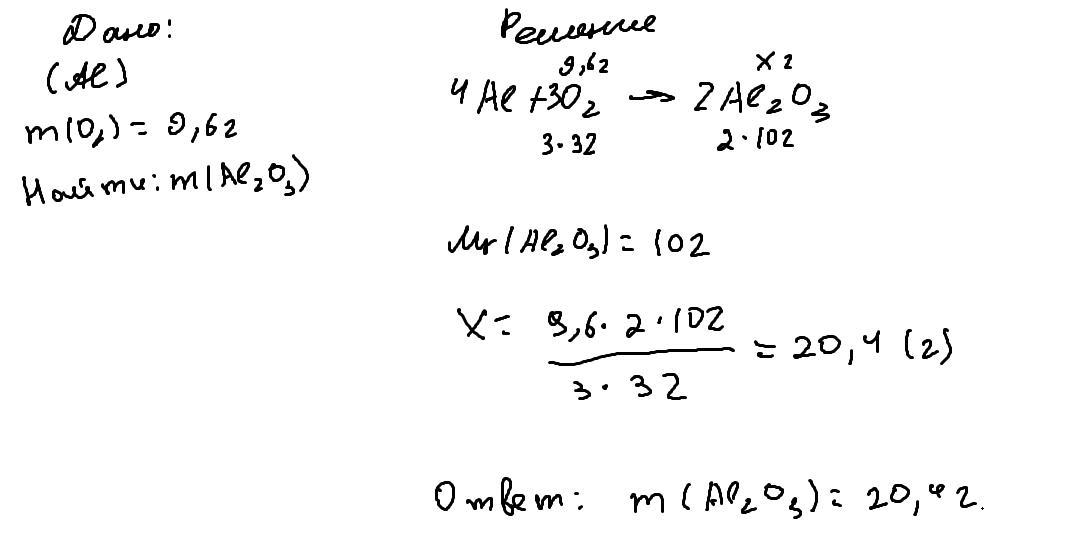
В результате горения алюминия в кислороде массой 9, 6 г, получен продукт, найти его массу

Ответы

Ответ дал: Человек999999
1

Ответ:

20,4 г.

Объяснение:

Приложения:

6helldeer9: Спасибо огромное
Вас заинтересует