Площадь малого поршня гидравлической машины 10 см2, на него действует сила 1,5 кН. Какую силу необходимо приложить к большому поршню, чтобы поршни были в равновесии? Площадь большого поршня 2500 см2.
Ответы
Ответ дал:
1
Ответ:
Ответ
Ответ
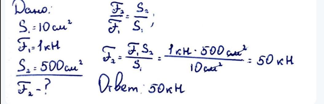
Объяснение:
Ответ
Ответ
Объяснение:
Приложения:
Ответ дал:
0
p=F/S
p1=p2
F1/S1=F2/S2
F2=F1S2/S1
F2=1,5*2 500/10=375 (кН)
Вас заинтересует
2 года назад
2 года назад
3 года назад
3 года назад
8 лет назад
10 лет назад
10 лет назад