• Предмет: Алгебра
  • Автор: mirvalievakomola
  • Вопрос задан 7 лет назад

СРОЧНООООО!!!ПЖПЖПЖ ​

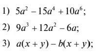
Приложения:

Ответы

Ответ дал: lilo254
1

Ответ:

1) 20a в 12 степени

2) 15а в 6 степени

3) ах+ау-bx-by

Вас заинтересует