• Предмет: Алгебра
  • Автор: akkaowoerjrj
  • Вопрос задан 7 лет назад

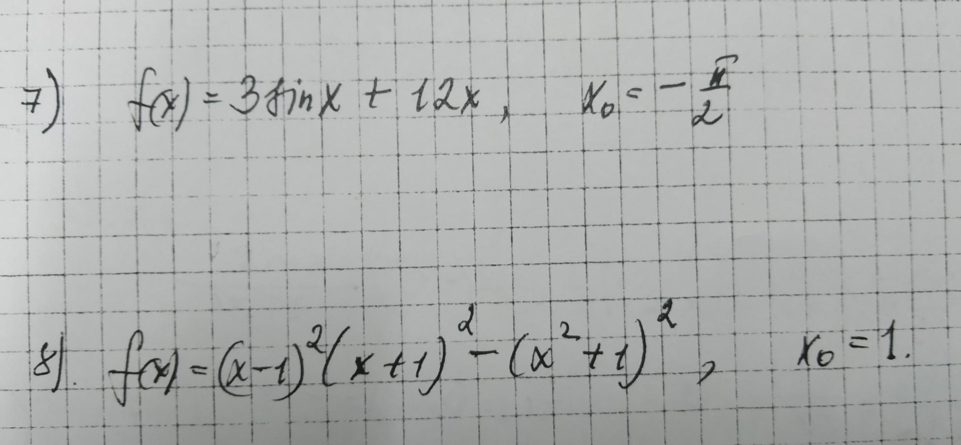
ПОМОГИТЕ ПОЖАЛУЙСТА ОООЧЕНЬ НАДО !!! НАПИШИТЕ УРАВНЕНИЕ КАСАТЕЛЬНОЙ К ГНАФИКУ ФУНКЦИИ y=f(x) в точке х0. Задание 7 и 8. ​

Приложения:

Ответы

Ответ дал: sangers1959
1

Объяснение:

7)

f(x)=3sinx+12x   \ \ \ \  x_0=-\frac{\pi }{2} \ \ \ \ \ \ y_k=?\\f(-\frac{\pi }{2})=3*sin(-\frac{\pi }{2})+12*(-\frac{\pi }{2}  )=-3*sin\frac{\pi }{2} -6\pi =-3-6\pi .\\ f'(x)=(3sinx+12x)'=3cosx+12.\\f'(-\frac{\pi }{2})=3*cos(-\frac{\pi }{2})+12=3*cos\frac{\pi }{2} +12=3*0+12=12.\ \ \ \ \Rightarrow\\ y_k=-3-6\pi +12*(x-(-\frac{\pi }{2}))=-3-6\pi +12x+6\pi =12x-3.\\ y_k=12x-3.

Ответ: yk=12x-3.

8)

f(x)=(x-1)^2*(x+1)^2-(x^2+1)^2=((x-1)*(x+1))^2-(x^2+1)^2=\\=(x^2-1)^2-(x^2+1)^2=(x^2-1+x^2+1)*(x^2-1-x^2-1)=2x^2*(-2)=-4x^2.\\f(x)=-4x^2\ \ \ \  x_0=1\ \ \ \ y_k=?\\f(1)=-4*1^2=-4.\\f'(x)=(-4x^2)'==-4*2*x=-8x.\\f'(1)=-8*1=-8.\ \ \ \ \Rightarrow\\y_k=-4+(-8)*(x-1)=-4-8x+8=-8x+4.\\y_k=-8x+4.

Ответ: yk=-8x+4.

Приложения:
Вас заинтересует