• Предмет: Математика
  • Автор: wilhelmsofa12
  • Вопрос задан 7 лет назад

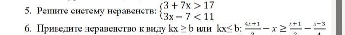
Решите пожалуйста только систему!​

Приложения:

Ответы

Ответ дал: Albina283901
1

Ответ:

2<х<6

Пошаговое объяснение:

ну, если правильно, то я рада. сделаешь в таком случае лучшим ответом?

аой, в первом неравенстве не 3х, а просто 3. но решение так и так правильно(?)

Приложения:

wilhelmsofa12: правильно надпись появится поставлю лучший ответ
Albina283901: я в фотоматч проверила, там такой же ответ
Вас заинтересует