• Предмет: Алгебра
  • Автор: hmelnichenkovova6599
  • Вопрос задан 7 лет назад

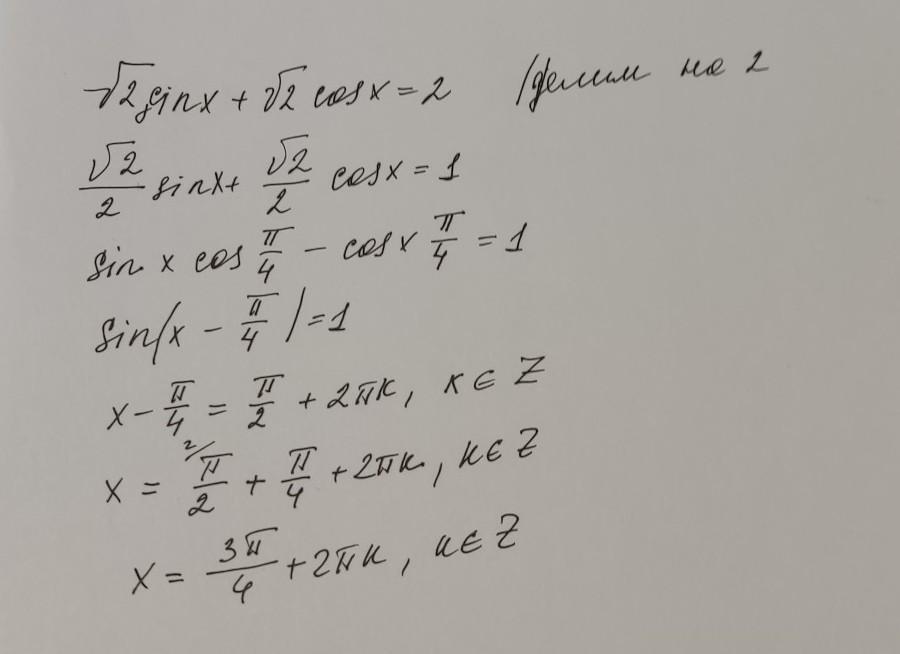
√2 sinx+√2cosx=2
Помогите пожалуйста с кр

Ответы

Ответ дал: nv1812
1

Ответ:

смотрите фото

Объяснение:

смотрите фото

Приложения:
Вас заинтересует