• Предмет: Математика
  • Автор: mariakovt121
  • Вопрос задан 7 лет назад

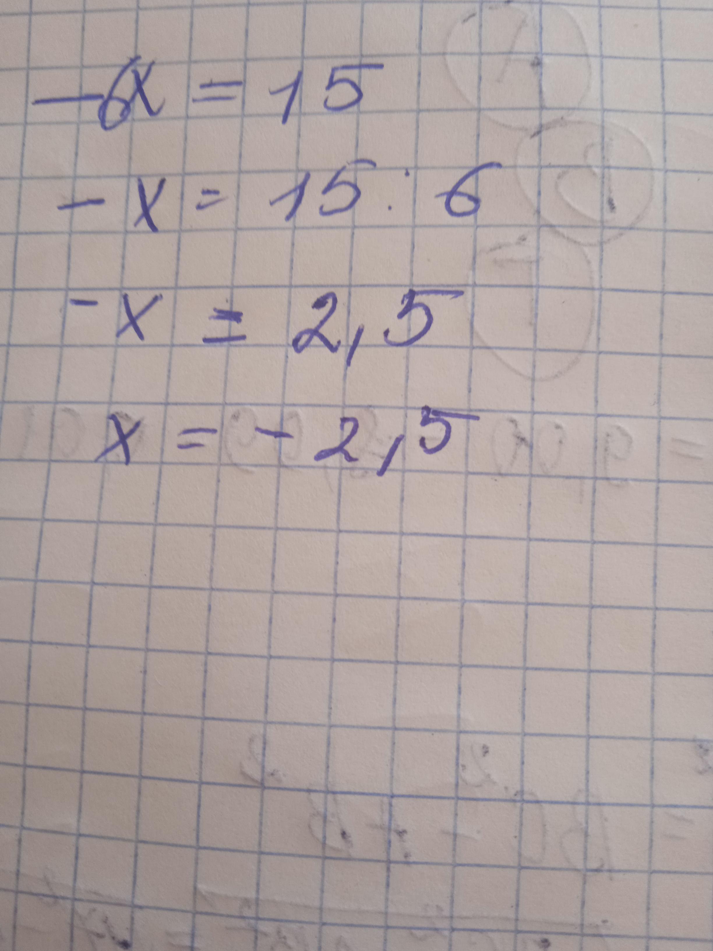
розв'яжіть рівняння:-6х=15
Даю 100 балів

Ответы

Ответ дал: svitaaa2016
1

Ответ:

-6х=15 | : -6

х=-2,5

Ответ: Х=-2,5


prettypushkova: х = -2,5 (минус потеряли)
mariakovt121: Нуда
svitaaa2016: Спасибо, подправила)
mariakovt121: Ти дівчина
svitaaa2016: Да)
mariakovt121: А скільки років?
mariakovt121: Тобі
Ответ дал: Katya211399
1

ВідповідьВідповідьВідповідьВідповідь:

Покрокове пояснення:

Приложения:

prettypushkova: Можно проще: х = 15 : (-6) ---> х = -2,5.
Katya211399: Це теж просте, просто розписала як правильно!
mariakovt121: Спасіба вам
Вас заинтересует