• Предмет: Математика
  • Автор: ermolinnroman
  • Вопрос задан 7 лет назад

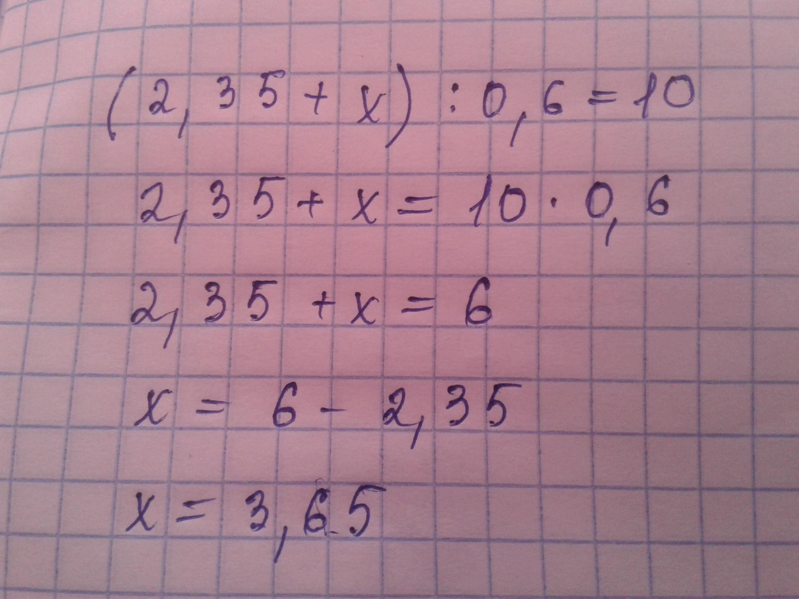
решите уравнение (2, 35 + x ) :0.6 = 10


пж СПАСИТЕ​


sadykovanatalya2004: Х=3,65
ermolinnroman: решение нужно
sadykovanatalya2004: Я решение добавила.

Ответы

Ответ дал: 1christopher
3

Пошаговое объяснение:

(2.35 + x) \div 0.6 = 10 \\ 2.35 + x = 10 \times 0.6 \\ 2.35 + x = 6 \\ x = 6 - 2.35 \\ x = 3.65

Ответ дал: sadykovanatalya2004
1

Ответ:

смотри фото ниже.

Пошаговое объяснение:

Приложения:
Вас заинтересует