Заполни пропуски в выражении, используя формулу квадрата суммы или разности.
Запиши числа в полях ответа.
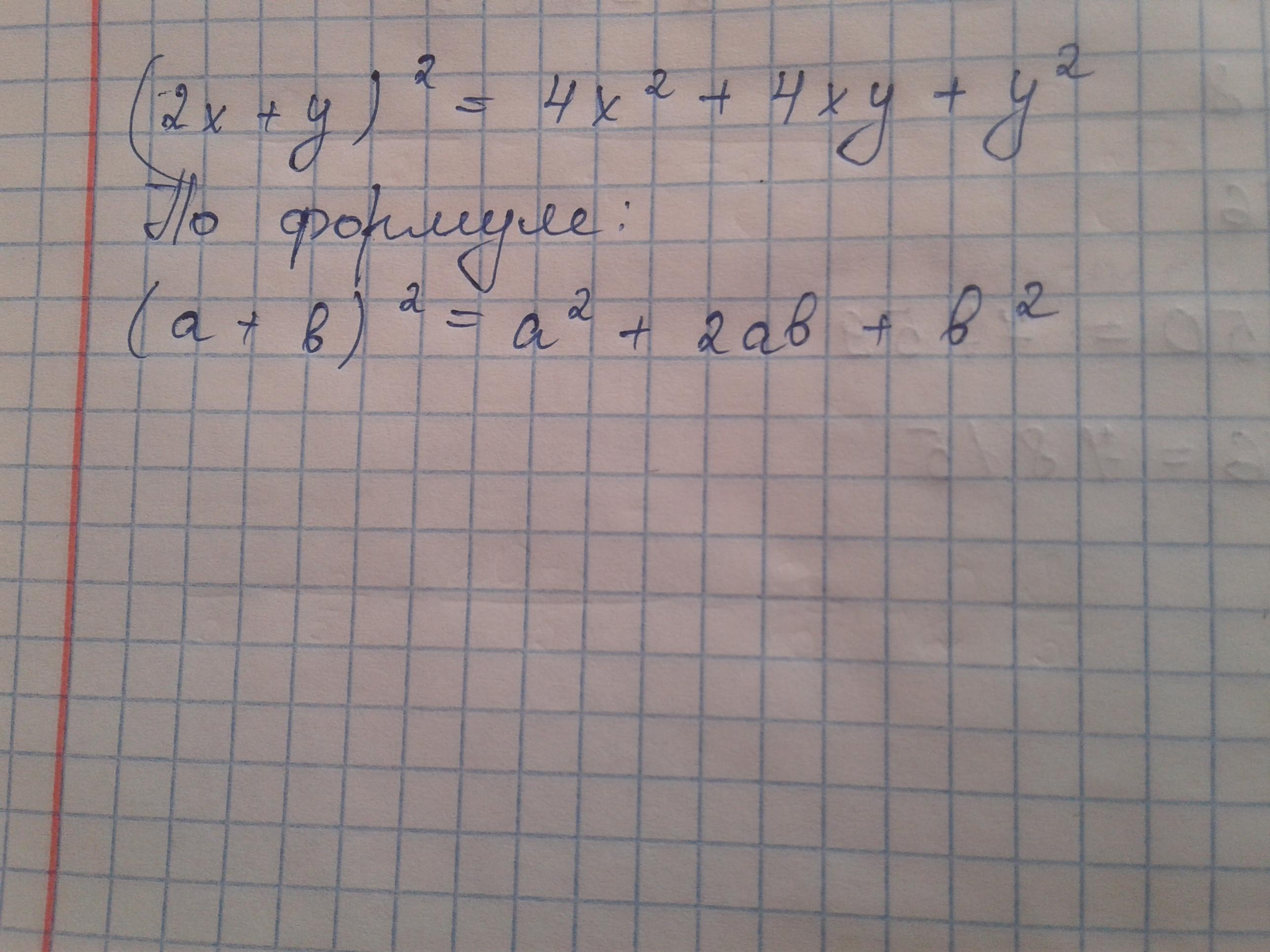
(2x+y)^2=___x^2+___xy+y^2
Ответы
Ответ дал:
1
Ответ:
Смотри решение на фото...
Приложения:

Ответ дал:
1
Ответ:
смтри фото ниже.
Объяснение:
Приложения:

Вас заинтересует
2 года назад
2 года назад
2 года назад
2 года назад
8 лет назад
8 лет назад
9 лет назад