• Предмет: Математика
  • Автор: timofeymikh2020
  • Вопрос задан 7 лет назад

ПОМОГИТЕ ПЖЖЖ ДАМ 15 БАЛЛОВ только пошагово как вы делали желательно сделайте на листочке

Приложения:

Ответы

Ответ дал: mokelgod
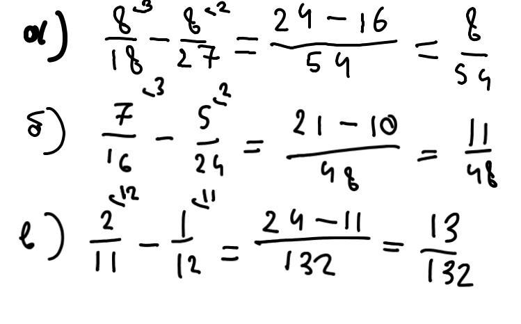
1

Ответ:

Пошаговое объяснение:

Сделал первые три чтоб ты суть уловила это же элементарно. Ищешь общий знаменатель и вычитаешь - все

Приложения:
Вас заинтересует