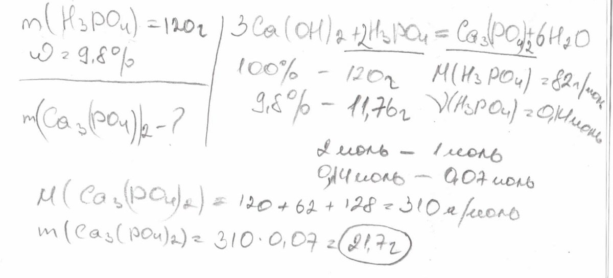
Определите массу фосфата кальция,получившегося в результате взаимодействия избытка гидроксида кальция со 120 г 9,8 % фосфорной кислоты
Ответы
Ответ дал:
0
........................
Приложения:
Ответ дал:
0
Спасибо большое)
Ответ дал:
0
3Ca(OH)₂ + 2H₃PO₄ = Ca₃(PO₄)₂ + 6H₂O
1) Определим массу фосфорной кислоты, вступившей в реакцию
m(H₃PO₄) = 120 * 9,8 : 100 = 11,76 г
2) Определим массу фосфата кальция, получившегося в результате реакции
М(H₃PO₄) = 1 * 3 + 31 + 16 * 4 = 98 г/моль
М(Ca₃(PO₄)₂) = 40 * 3 + (31 + 16 * 4) * 2 = 310 г/моль
m(Ca₃(PO₄)₂) = (11,76 г * 310 г/моль * 1 моль) : (98 г/моль * 2 моль) = 18,6 г
1) Определим массу фосфорной кислоты, вступившей в реакцию
m(H₃PO₄) = 120 * 9,8 : 100 = 11,76 г
2) Определим массу фосфата кальция, получившегося в результате реакции
М(H₃PO₄) = 1 * 3 + 31 + 16 * 4 = 98 г/моль
М(Ca₃(PO₄)₂) = 40 * 3 + (31 + 16 * 4) * 2 = 310 г/моль
m(Ca₃(PO₄)₂) = (11,76 г * 310 г/моль * 1 моль) : (98 г/моль * 2 моль) = 18,6 г
Приложения:
Вас заинтересует
3 года назад
8 лет назад
8 лет назад
11 лет назад
11 лет назад