Ответы
Ответ дал:
1
Ответ:
на рисунку
Объяснение:
...................
Приложения:

kirill14966:
а почему x не найден?
Ответ дал:
1
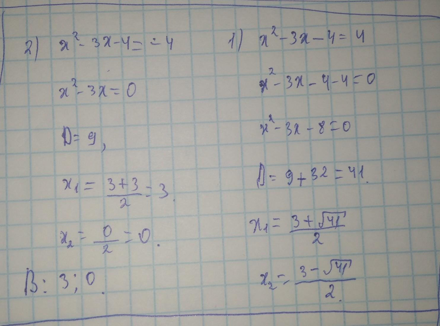
1) x²-3x-4=4
x²-3x-4-4=0
x²-3x-8=0
a=1;b=-3;c=-8
D=b²-4ac=(-3)²-4*1*(-8)=9+32=41
x1;2=(-b±√D)/(2a)=(3±√41)/2
------------------------------------------
x²-3x-4= -4
x²-3x=0
x(x-3)=0
x=0; x=3
Вас заинтересует
2 года назад
2 года назад
2 года назад
8 лет назад
8 лет назад
9 лет назад
9 лет назад