• Предмет: Математика
  • Автор: arlanitemirlani
  • Вопрос задан 7 лет назад

помогите пожалуйста!! хотябы по одному заданию :(​

Приложения:

Ответы

Ответ дал: mokelgod
1

Ответ:

-22

Пошаговое объяснение:

Ответ будет -22 ........

Приложения:
Ответ дал: ScratchWest49sk8er
1

Ответ:

3) |х-7,2|=12,8

х-7,2=12,8

х-7,2=-12,8

х=20

х=-5,6

х1=-5,6, х2=20

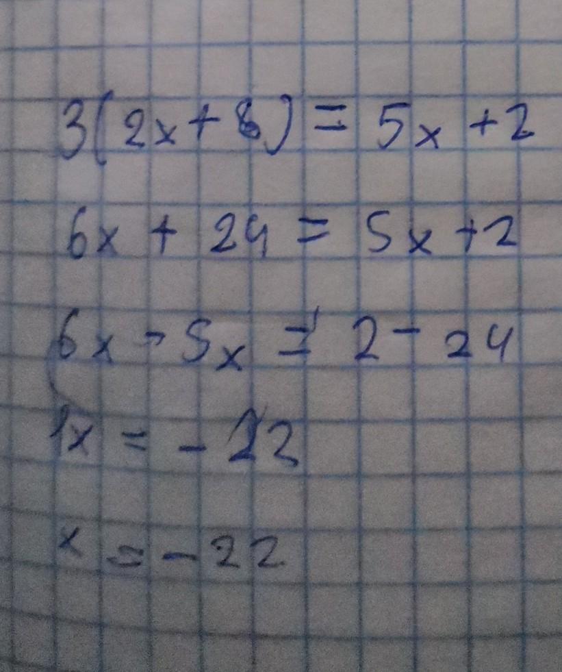
4) 3(2х+8)=5х+2

6х+24=5х+2

6х-5х=2-24

х=-22

Вас заинтересует