• Предмет: Алгебра
  • Автор: Аноним
  • Вопрос задан 10 лет назад

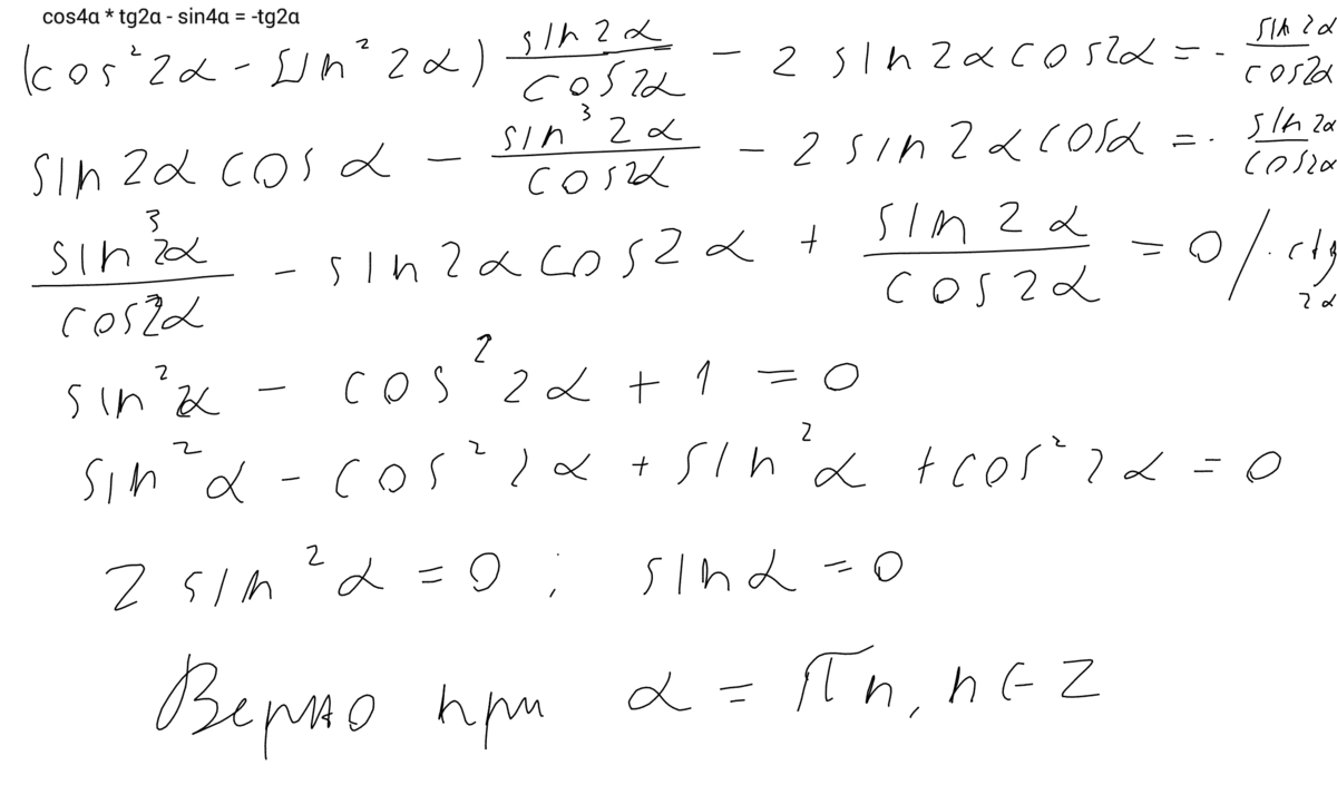
cos4α * tg2α - sin4α = -tg2α доведіть тотожість !!!

Ответы

Ответ дал: Desmos74
0
Возможный вариант решения:
Приложения:
Ответ дал: Аноним
0
це тотожність?
Вас заинтересует