• Предмет: Алгебра
  • Автор: alisa3930
  • Вопрос задан 7 лет назад

СРОЧНО ПОМОГИТЕ РЕШИТЬ, УМОЛЯЮЮ​

Приложения:

Ответы

Ответ дал: VYPR
1

Объяснение:

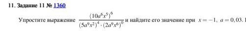
ВЫПИШЕМ ДЛЯ НАЧАЛА ЧИСЛИТЕЛЬ:

(10a {}^{6} x {}^{5} ) {}^{6}

ЧТОБЫ ВОЗВЕСТИ ПРОИЗВЕДЕНИЕ В СТЕПЕНЬ,НУЖНО ВОЗВЕСТИ КАЖДЫЙ МНОЖИТЕЛЬ В ЭТУ СТЕПЕНЬ:

10a {}^{6} a {}^{36} x {}^{30}

ВЫПИШЕМ ВЫРАЖЕНИЕ ИЗ ЗНАМЕНАТЕЛЯ:

(5a {}^{9} x {}^{2} ) {}^{4}

ТАК ЖЕ ВОЗВОДИМ ВСЁ В СТЕПЕНЬ:

625a {}^{36} x {}^{8}

ТАМ ЕЩЁ ЕСТЬ ВЫРАЖЕНИЕ В СТЕПЕНИ "0",НО КАК МЫ ЗНАЕМ, ЛЮБОЕ ОТЛИЧНОЕ ОТ НУЛЯ ВЫРАЖЕНИЕ В СТЕПЕНИ 0 ДАЁТ 1

ПОЛУЧАЕМ:

 \frac{10a {}^{6} a {}^{36}x {}^{30}  }{625a {}^{36}x {}^{8}  \times 1 }

10 {}^{6}  = 1000000

СОКРАТИМ НА а^36 И х^30 НА х^8, ПОЛУЧАЕМ:

1000000х^22/625, сокращаем на 625 и получаем:

1600х^22

ПОДСТАВЛЯЕМ ЧИСЛОВЫЕ ДАННЫЕ:

1600*(-1)^22=1600*1=1600

Вас заинтересует