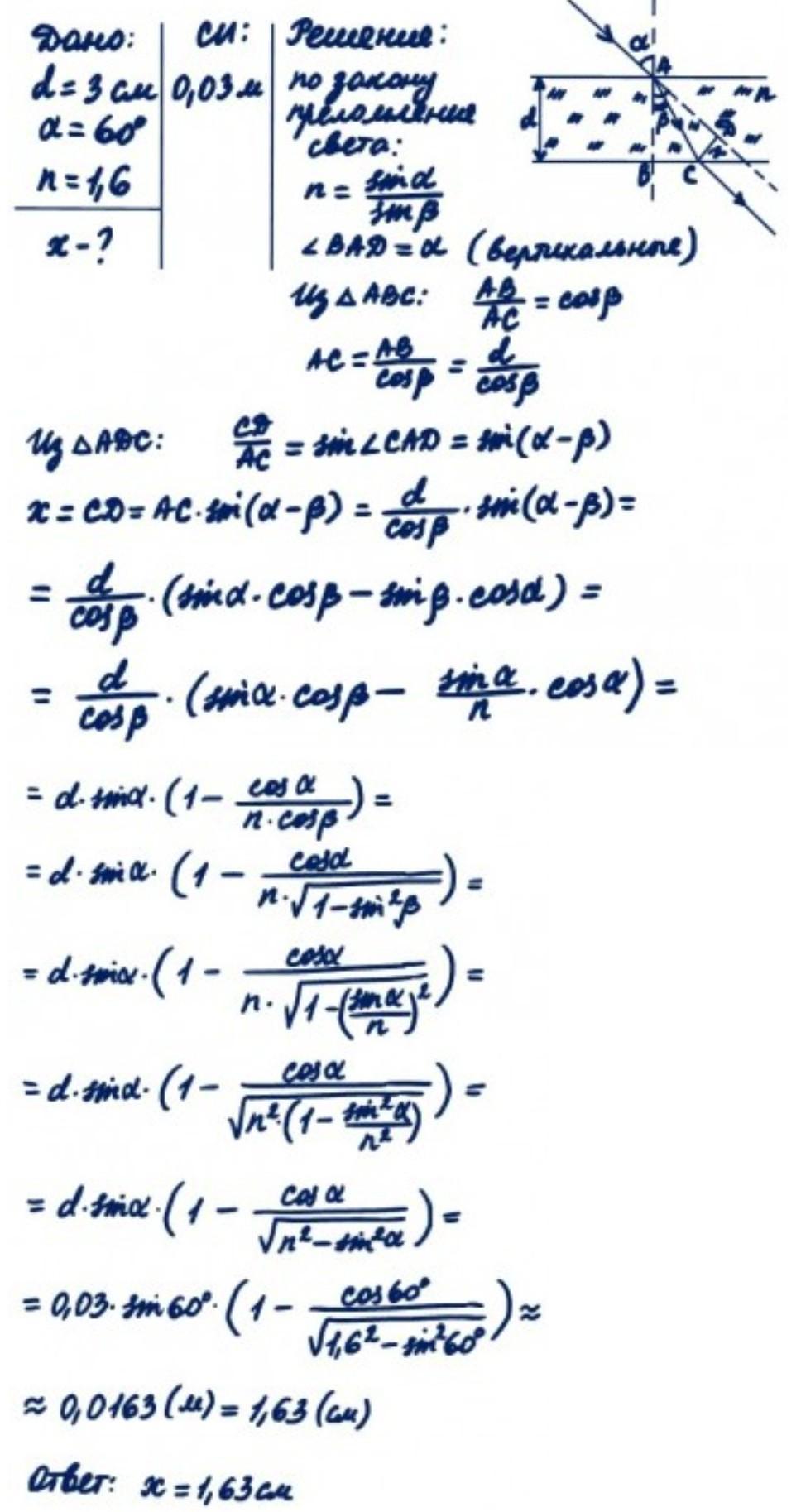
Кут падіння світлового променя на скляну плоско-паралельну пластинку завтовшки
3 см дорівнює 40°. На скільки змістився промінь у пластинці, якщо показник заломлення
скла 1,8?
Ответы
Ответ дал:
2
это всё, правильно! я до этого сам это решил
Приложения:

nevidimatima:
Не правильно, у тебе 40 градусів а потрібно 60
Вас заинтересует
2 года назад
2 года назад
2 года назад
8 лет назад
8 лет назад