• Предмет: Алгебра
  • Автор: Skellige69
  • Вопрос задан 7 лет назад

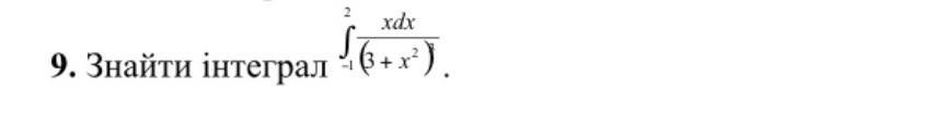
Знайти інтеграл. (40 балів) ​

Приложения:

Ответы

Ответ дал: Аноним
0

(1/2)∫(dx²+3)/(x²+3)=(㏑(x²+3))/2, применим к нему формулу Ньютона - Лейбница, получим =((㏑(2²+3))/2)=(㏑((-1)²+3))/2=(㏑(7*4))/2=0.5㏑28

Вас заинтересует