• Предмет: Алгебра
  • Автор: purinaonekuy
  • Вопрос задан 7 лет назад

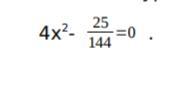
Решите уравнение, пожалуйста!

Приложения:

Ответы

Ответ дал: RubikYT
4

Ответ:

Вот, надеюсь помог)

Объяснение:

Отметь лучшим пожалуйста)

Приложения:

purinaonekuy: Большое спасибо!
Вас заинтересует