• Предмет: Алгебра
  • Автор: Tekilla666
  • Вопрос задан 11 лет назад

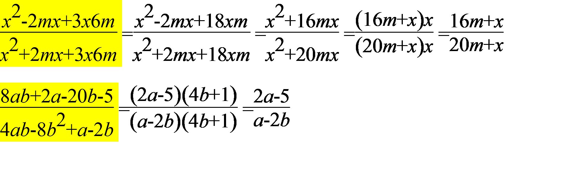
сократите дробь x^2-2 mx+3 x6m//x^2+2 mx+3 x6m

8ab+2a-20b-5//4ab-8b^2+a-2b

 

Ответы

Ответ дал: Бабочка3
0

2а(4в+1)-5(4в+1) / а(4в+1)-2в(4в+1) = (2а-5) (4в+1) а-2в) (4в+1) = 2а-5 /  а-2в

Ответ дал: triolana
0

файл

---------------------------- 

Приложения:
Вас заинтересует