• Предмет: Алгебра
  • Автор: ProsroNastya
  • Вопрос задан 7 лет назад

пожалуйста, помогите
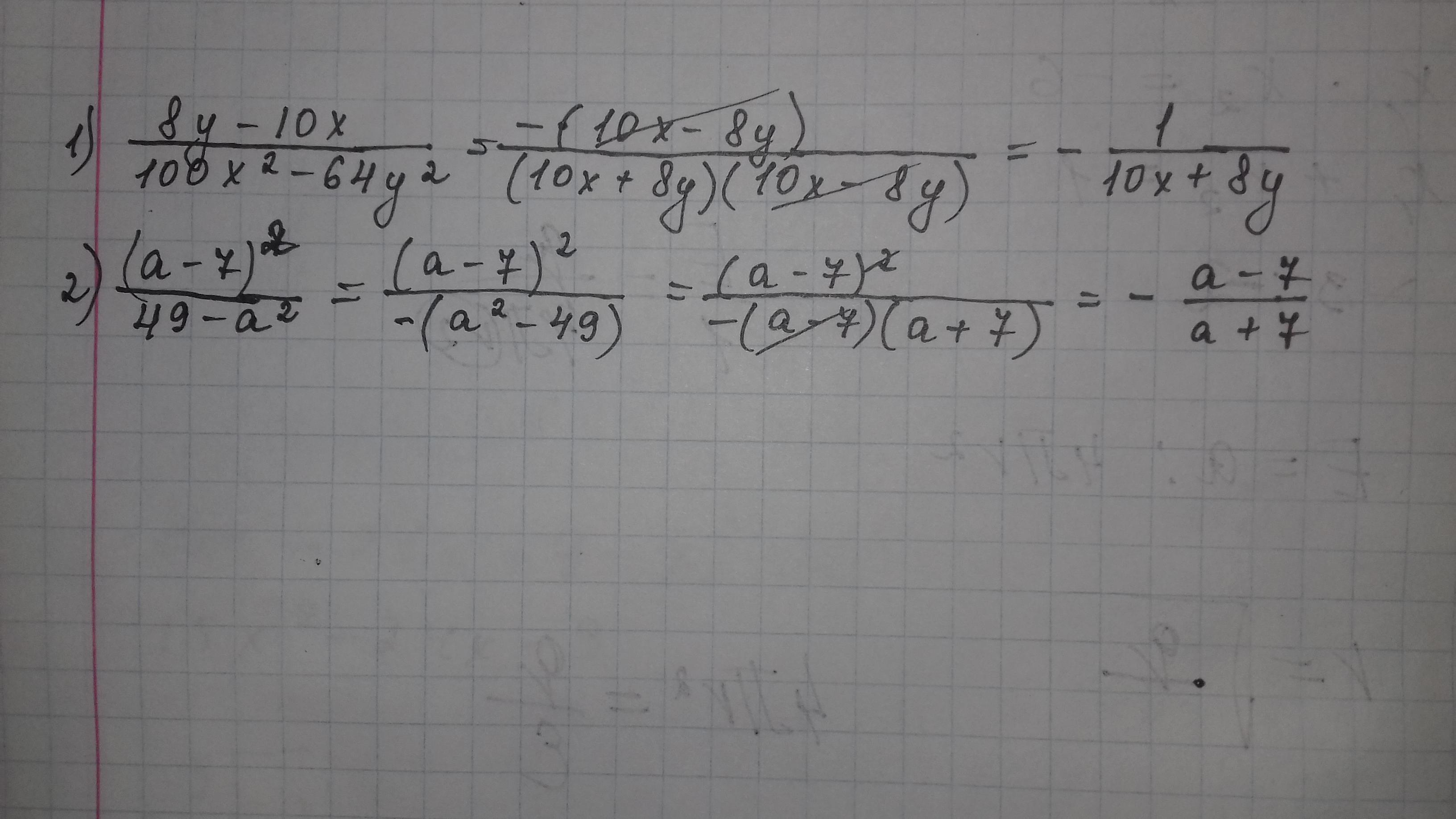
8y-10x/100x²-64y²
(а-7)²/49-а²​

Ответы

Ответ дал: ninjazhanibek
1

\frac{8y-10x}{100x^2-64y^2} = \frac{8y-10x}{-(10x+8y)(8y-10x)} =-\frac{1}{10x+8y} \\\\\frac{(a-7)^2}{49-a^2} = \frac{(a-7)^2}{-(a^2-49)} =  \frac{(a-7)^2}{-(a-7)(a+7)}= \\\\-\frac{a-7}{a+7}

Главное знать формулу а²-с²=(а-с)(а+с)

Ответ дал: sadykovanatalya2004
1

Ответ:

Смотри фото ниже

Объяснение:

Приложения:
Вас заинтересует